公司教师刘航与巴西圣保罗大学合作者在PhysicalReviewD上发表论文“Quasinormal modes of analog rotating black holes in a two-dimensional photon-fluid model”。论文研究了通过光子流体构建的类比黑洞时空背景中无质量标量场扰动的似正规模,从而揭示了这类黑洞的动力学特性。

黑洞似正规模被称作是黑洞的特征声音,是黑洞物理中帮助我们理解时空本质的关键研究方向之一。近年来,国际上虽然利用引力波探测器直接探测到了天体物理环境中双黑洞并合释放的引力波信号,然而目前我们对黑洞物理的观测研究仍然受到很大限制。基于此,人们发展出了一套实验室中构建类比黑洞的方法,试图通过类比黑洞的研究帮助我们理解真实的黑洞,从而验证广义相对论以及其他引力理论。特别是通过研究类比黑洞中的霍金辐射现象,将有助于加深我们对弯曲时空量子场论的理解,甚至提供量子引力研究的新线索。
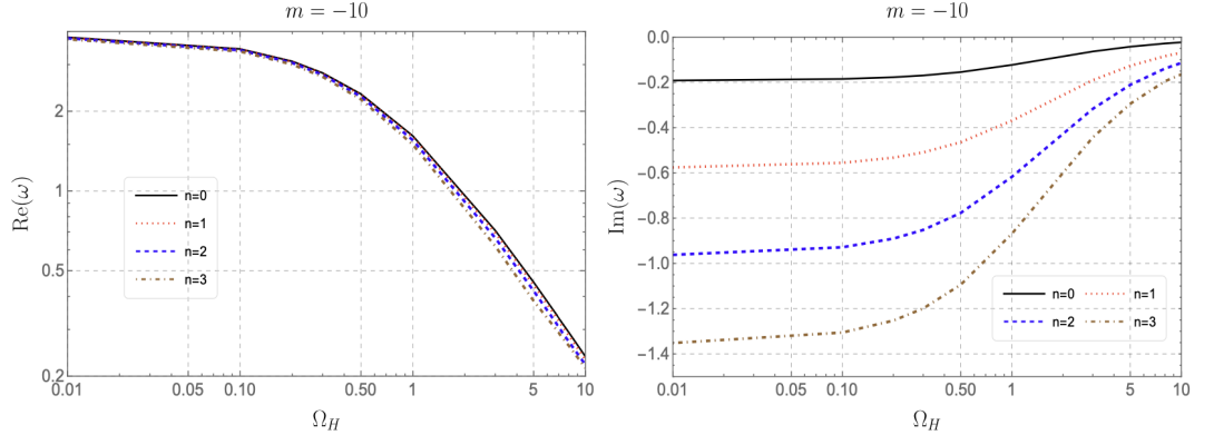
近年来受到广泛关注的一种新的类比黑洞构建方案是在光子流体背景中施加涡旋光,使得光场的密度扰动在该背景中的运动方程满足无质量标量场在一个旋转黑洞时空中的Klein-Gordon方程,从而构建出了一个类比的旋转黑洞。我们研究了该类比旋转黑洞时空中的无质量标量场扰动的似正规模频谱,分析了这类频谱是如何依赖于黑洞参数的,从而帮助我们了解这类黑洞的动力学性质,为今后实验室中探测黑洞似正规模信号提供了理论基础。此外,我们发现该类比黑洞事件视界的角速度可以任意大,这跟广义相对论预言的传统旋转Kerr黑洞显著不同,其角速度受到弱宇宙监督猜想限制会有一个上限。通过对似正规模频谱的分析,我们还发现该黑洞角速度任意大的特性并不会破坏黑洞的稳定性,从而保证了实验室中构建这类黑洞的先决条件。
该工作近期被Physical Review D接收发表。PA捕鱼官方网站刘航为论文第一作者兼通讯作者,PA捕鱼官网入口为第一单位。该成果得到了国家自然科学基金青年项目(No.12305071)的支持。